目录:
- 01. Week01 - Lec02 - Revision and setting the scene
- 02. Week02 - Lec01 - Data structures - memory allocation
- 03. Week02 - Lec02 - Input - Output
- 04. Week03 - Lec01 - ADTs
- 05. Week03 - Lec02 - Dynamic memory allocation
- 06. Week04 - Lec01 - LinkedLists
- 07. Week06 - Lec01 - Heaps
- 08. Week06 - Lec02 - Priority Queues and Heap Sort
- 09. Week07 - Lec01 - Graphs
- 10. Week07 - Lec02 - Graph search
- 11. Week08 - Lec02 - Applications of Graph Search
- 12. Week09 - Lec01 - Weighted Graph Algorithms
- 13. Week09 - Lec02 - Binary Search Trees
- 14. Week10 - Lec01 - Splay Trees
01. Week01 - Lec02 - Revision and setting the scene
- C语言除法只有一个符号,与 Python 不同,如果想要得到 float 类型,首先变量需要为 float,另外就是 除数 或者 被除数 之一是 float 类型
如果变量为 int,则自动获取整数部分,不管 除数 与 被除数 是否为 floatfloat a = 10.0/3, a = 3.333333 int a = 10.0/3, a = 3 - Array 可以通过下面方式声明
int fac[20]; //对于每个元素具体赋值 int v[5] = {1, 2, 3, 4, 5}; //直接赋值的话,需要加上大括号 - 字符数组需要保留最后为'\0'
char s[6] = {'h', 'e', 'l', 'l', 'o'}; char t[6] = "hello"; - 数组作为函数参数的时候,同时需要加入数组的长度其中 Harry[] 与 *harry 可以达到一样的效果
int sumArray(int harry[], int length) {...} or int sumArray(int *harry, int length) {...} - 二维数组可以看成数组的数组
m[2][3] 包含2个元素,每个元素都有一个包含3个元素的数组 m[0] 包含 m[0][0], m[0][1], m[0][2],第1行 m[1] 包含 m[1][0], m[1][1], m[1][2],第2行 int m[2][3] = {{1, 2, 3}, {4, 5, 6}};
m[3][2][4] 包含3个元素,其中每个元素一个2*4的数组
分层,最外层3个元素,然后一层是2个元素,最里面是4个元素int m[3][2][4] = {{{1, 2, 3, 4}, {5, 6, 7, 8}}, {{9, 10, 11, 12}, {13, 14, 15, 16}}, {{17, 18, 19, 20}, {21, 22, 23, 24}}}; - struct date {...};
其中 struct date 本身是一个新的数据类型,因此定义新的变量需要这样:
struct date birthday; - #define 用来定义常量
typedef 用来将数据类型重命名
注意,前面有符号的,后面没有分号,前面没有符号的,后面需要分号#define MAX 20 typedef struct date Date; typedef float Real; typedef struct { int day, month, year; } Date; Date birthdays[MAX]; // an array of structs - 结构体访问
structTypeName s, *sp; sp = &s; s.element (*sp).element sp->element -
int main(int argc, char *argv[]) argc: number of arguments argv[]: allow access to arguments represented as strings atoi(Origin_string): string to number sscanf(Origin_string, "%d", &num): string to everything(num)
02. Week02 - Lec01 - Data structures - memory allocation
- a char takes 1 byte (8 bits)
an int takes 4 bytes (32 bits)
a pointer takes 8 bytes (64 bits) (64 bit computers)
sizeof structs
组成 8 bytes,无法组成的就空缺,可以设想成 8 bytes 一个卡壳,而且按顺序放其中 1 + 4 (+ 3) + 8 = 16struct s1 { char c; int i; char *s; };其中 1 (+ 7) + 8 + 4 (+4) = 24struct s2 { char c; char *s; int i; };
03. Week02 - Lec02 - Input - Output
- 3 main sources of input for programs:
from the command line: argc, argv[]
from standard input (also called stdin)
stdin can be the keyboard, a data file, or the output of other program
from an 'internally-defined' file
open a file, use fscanf(), and don't forget to close the file - command line
sscanf(argv[1], "%d", &num) != 1
如果赋值成功的话,会返回赋值的个数,将字符串 argv[1] 转换为 数字 num - standard input (stdin)没有 string 参数,直接获取 stdin 的信息,或者是输入的,或者是文件
scanf("%d", &num) != 1 or scanf("%d%d, &num1, &num2) != 2 //表示两个数字,中间可以间隔whitespace
pipe command: |, 将前一个输出当做后一个输入
使用 getchar()
一次获取一个字符,检测是否到达 '\n'char c = getchar(); while (c != '\n') {...} - a user file
fopen(), fscanf(), fclose() - stdout, stderr
fprinf(stream, ...)
stdin: scanf()
stdout: printf() - scanf(): to read from stdin,只能读取 keyboard 或者 文件,与 printf 对应
多个含有空格的字符,无线调用 scanf 可以读取数字
sscanf(): to read from the command line,从字符串获取信息
printf(): to write to stdout,只能输出到控制台 或者 文件
fprintf(): to write to stderr
04. Week03 - Lec01 - ADTs
- 实现 structstruct point 用来计算 malloc 中空间大小
typedef struct point { float x; float y; } *Point;
Point 以指针形式,可以直接修改地址对应的数据Point p; p = malloc(sizeof(struct point)); p->x p->y - Stacks and queues
stacks: Last in, first out
通过数组实现,快速简单,不过要固定长度
通过 linkedlist 实现,慢,不过可以灵活增加内存
a postfix calculator
queues: First in, first out
‘circular’ queue
数组实现:
stacks:尾部push,尾部pop
queues:头部qush,尾部pop
05. Week03 - Lec02 - Dynamic memory allocation
- 声明的变量放在 stack 里面
malloc 的内存空间放在 heap 里面 - For every malloc() there should be a corresponding free()
when free'd, that heap space may be re-used by the system
free(p);
p = NULL; - When a program teminates, all memory the program uses is automatically freed.
It is not dangerous to forget to free memory at the end of a program,
but it's poor style. Sometimes it's dangerous. - Realloc
If the space returned by a malloc() is too little, you can create more by calling realloc().char *p = malloc(SIZEINBYTES) . . char *pext = realloc(p, BIGGERSIZEINBYTES); . .
06. Week04 - Lec01 - LinkedLists
- 与数组相比的优点:
- 动态分配空间,可以是任意大小
- 数组需要连续的空间,不好把控
- 更容易删除节点
- 与数组相比的缺点:声明:
- 不能随机访问,数组可以
- 只能连续访问,但是数组更快
- 操作量更大
- 每个元素都有一个额外的指针
Sedgwicktypedef struct node *Link; struct node{ int data; Link next; }
Alberttypedef struct node { int data; struct node *next; } List;- 通过 LinkedList 来实现 Quack
- push:将 node 放在 head 之后,就是最前面
- qush:需要找到最后一个节点,然后直接连接上
- pop:Quack qs,qs 不能是 NULL,不能使 Empty, 删除第一个 node 并且释放
- destroyQuack:释放出 head 之外的所有节点
- makeEmptyQuack:pop 掉所有节点
- isEmptyQuack:是否头节点指向 NULL
- showQuack:按顺序输出 data
- Head nodeA linkedlist ADT interface
- 创建出来的
- 存储的是 dummy data,最大值,没意义
- 不能被删除,不是 linkedlist 信息内容
- 如果 quack 为空,指向 NULL
- 如果 quack 不为空,指向 top node
- 返回 head node 给 client
typedef struct node *List;
...
因此 interface 里面可以用到 List- A linkedlist ADT因此 ADT 里面可以用访问结构体内部信息
struct node { int data; struct node *Next; }; ...
07. Week06 - Lec01 - Heaps
- heap memory
- a programmer can request heap memory by using malloc()
- the memory is 'returned' to the heap by using free()
- heap data structure
- higher-level than array and linked list
- a heap data structrue is built on an array, or linked list
- two-dimensional because it forms a tree of data
- a binary tree (at most 2 children per node)
- a binary tree (at most 2 children per node)
- higher-level than array and linked list
- Max-heaps
- the element with the largest key is at the root
- the children of a node have keys smaller than the parent
- Min-heaps
- the element with the smallest key is at the root
- the children of a node have keys larger than the parent
- 2 properties
- HOP (Heap-Order Property): 子节点的值比父节点小或者大
- CTP (Complete-Tree Property): 完全二叉树,可以保证子节点与父节点的位置是2倍关系
- heaps 用来实现 priority queues,使用在最短路径算法
- Heap Implementation
- 根节点索引值为 1
- 给定节点索引 i:
- 它的左节点是 2i
- 它的右节点是 2i + 1
- 它的父节点是 i/2(使用整数结果)
- Operation on heaps
- Get the maximum element
- 根节点,位置 1
- Insert an element
- 把新要素放到最下面最右边的位置,放在数组的最后
- fixUp:随着单一路径向根部传递,按照 Heap-Order Property
- Delete the maximum element
- delMax 大根堆
- delMin 小根堆
- 删除叶子节点,可以直接操作
- 删除根节点
- 删除root,将最后的元素替换掉,并将其删除,然后
- fixDown from the root (Heap-Order Property)
- return the saved root node
- fixDown:随着单一路径从根部向叶子节点传递
- Get the maximum element
08. Week06 - Lec02 - Priority Queues and Heap Sort
- A priority queue supports 2 abstract operations:
- insert: a new item (push, qush)
- delMax (pop)
- A Priority Queue ADT
- insertPQ:通过 fixUp,构建大根堆
- delMaxPQ:删掉第一个值,然后执行 fixDown
- Three implementations of the PQ ADT
- an unordered array
-
struct pqRep { int nItems; // actual count of Items int *items; // array of Items int maxsize; // maximum size of array }; - 插入数据,放置在最后
- 删除最大值,通过遍历来获取
-
- an ordered array
- 插入数据,查找数据按照顺序的位置,然后将后面的数据逐个后移,将数据插入
- 删除最大值,就是最后一个元素
- a heapified array
- 插入数据,调用 fixUp,将数据进行排序
- 删除最大值,删除一个元素,最后一个元素补入,通过 fixDown 操作
- an unordered array
09. Week07 - Lec01 - Graphs
- Complete graph
- 任何两点都有相连的边
- |E| = V(V-1)/2 (排列组合里面 V 个顶点,里面随机选取 2 个的可能性)
- Clique
- a complete subgraph
- a subset of vertices that form a complete graph
- Sparseness/denseness of a gragh
- dense graphs: |E| is closer to V(V-1)/2
- sparse graphs: |E| is closer to V (minimum is V-1)
- Tree
- a connected (sub)graph with no cycles
- a connected (sub)graph with no cycles
- Spanning Tree
- a tree that contains all vertices in the graph (可以是所有孤立的点,只删除 edges,点集不变)
- 包含所有 graph 中顶点的 tree,例如 最小生成树
- Terminology
- graph;顶点集与边集
- subgraph:顶点集与边集都是 上面graph 的子集
- induced subgraph:导出子图,顶点集是子集(只删除顶点的子集,相连的边会自动删除)
ref: https://www.youtube.com/watch?v=dPHkyRvLtIU - cycle:首尾相接
- connected graph:连接所有顶点的路径
- adjacency:两个相连接的顶点
- degree:一个顶点与其相连的顶点个数
- Hamiltonian path and cycle
- 每个顶点只访问一次,path
- 如果首尾相接,cycle(所有顶点的degree >= n/2)
- Eulerian path and cycle
总结:- 遍历每条边正好一次,path(恰好只有2个顶点有奇数的degree)
- 如果收尾相接,cycle(所有的顶点都是偶数的degree)
- 两者都不是:看奇数degree顶点个数,如果1个或者大于2个,都是没有的
1. 不可能同时有欧拉path或者cycle
2. 有Hamiltonian cycle一定有path
3. 判断H 回路 的方法就是所有顶点的度都≥n/2
4. 判断欧拉path:只有两个是奇数的度
5. 判断欧拉cycle:所有都为偶数的度- 其他
- Undirected Graphs
- edge(u, v) = edge(v, u)
- no self-loops (i.e. no edge(v, v))
- Directed Graphs
- edge(u, v) ≠ edge(v, u)
- can have self-loops (i.e. edge(v, v))
- Weighted Graphs
- 有权值的
- road map
- Multi-graph
- 两个顶点间可以拥有多条边相连
- 去一个地方的不同方式,线路等
- Undirected Graphs
- Implementing Graphs
- Vertex that is represented by an int
- Edge that is represented by 2 vertices
- Graph that is represented by an Adjacency matrix, or as an Adjacency list.
- building:
create a graph
create an edge
add an edge to a graph
deleting
remove an edge from a graph
remove and free a graph
printing
'show' a graph - Edge
typedef int Vertex; // define a VERTEX typedef struct { // define an EDGE Vertex v; Vertex w; } Edge;
- GraphAM.c: based on an Adjacency Matrix
-
struct graphRep { int nV; // #vertices int nE; // #edges int **edges; // matrix of Booleans ... THIS IS THE ADJACENCY MATRIX }; 
-
- GraphAL.c: based on an Adjacency Linked List
-
typedef struct node *List; struct node { Vertex name; List next; }; struct graphRep { int nV; // #vertices int nE; // #edges List *edges; // array of linked lists ... THIS IS THE ADJACENCY LIST }; 
- insertEdge: 两个顶点都要加,并且是插入到头部的位置
-
- Reading a graph
- scanf("%d", &v) != EOF,说明没有读取到文件结尾
- scanf("%d", &v) != '\n',说明没有读取到换行符
- scanf 会自动跳过空格、制表符或者回车
-
int readNumV(void) { // returns the number of vertices numV or -1 int numV; char w[WHITESPACE]; scanf("%[ \t\n]s", w); // skip leading whitespace if ((getchar() != '#') || (scanf("%d", &numV) != 1)) { fprintf(stderr, "missing number (of vertices)\n"); return -1; } return numV; } -
int readGraph(int numV, Graph g) { // reads number-number pairs until EOF int success = true; // returns true if no error int v1, v2; while (scanf("%d %d", &v1, &v2) != EOF && success) { if (v1 < 0 || v1 >= numV || v2 < 0 || v2 >= numV) { fprintf(stderr, "unable to read edge\n"); success = false; } else { insertEdge(newEdge(v1, v2), g); } } return success; }
10. Week07 - Lec02 - Graph search
- Depth-first search (BFS)
- stack
-
//HANDLES CONNECTED GRAPHS ONLY void dfsQuack(Graph g, Vertex v, int numV) { int *visited = mallocArray(numV); Quack s = createQuack(); push(v, s); showQuack(s); int order = 0; while (!isEmptyQuack(s)) { v = pop(s); if (visited[v] == UNVISITED) { // we visit only unvisited vertices printArray("Visited: ", visited, numV); visited[v] = order++; for (Vertex w = numV - 1; w >= 0; w--) { //push adjacent vertices if (isEdge(newEdge(v,w), g)) { // ... in reverse order push (w, s); // ... onto the stack } } } showQuack(s); } printArray("Visited: ", visited, numV); free(visited); return; }
- dfsQuack() (disconnected graphs)
- 设置一个参数 allVis,判断是否全部顶点都访问了
-
//HANDLES CONNECTED GRAPHS ONLY void dfsQuack(Graph g, Vertex v, int numV) { int *visited = mallocArray(numV); Quack s = createQuack(); push(v, s); showQuack(s); int order = 0; while (!isEmptyQuack(s)) { v = pop(s); if (visited[v] == UNVISITED) { // we visit only unvisited vertices printArray("Visited: ", visited, numV); visited[v] = order++; for (Vertex w = numV - 1; w >= 0; w--) { //push adjacent vertices if (isEdge(newEdge(v,w), g)) { // ... in reverse order push (w, s); // ... onto the stack } } } showQuack(s); } printArray("Visited: ", visited, numV); free(visited); return; }
- Recursive Depth-First Search
- 包含了 disconnected graphs 的情况,另外函数内部加入指针,可以改变地址同时相当于全局变量
-
void dfs(Graph g, Vertex rootv, int numV) {//'wrapper' for recursive dfs int *visited = mallocArray(numV); // ... handles disconnected graphs int order = 0; Vertex startv = rootv; // this is the starting vertex int allVis = 0; // assume not all visited while (!allVis) { // as long as there are vertices dfsR(g, startv, numV, &order, visited); allVis = 1; // are all visited now? for (Vertex w = 0; w < numV && allVis; w++) { // look for more if (visited[w] == UNVISITED) { printf("Graph is disconnected\n"); // debug allVis = 0; // found an unvisited vertex startv = w; // next loop dfsR this vertex } } } printArray("Visited: ", visited, numV); free(visited); return; } void dfsR(Graph g, Vertex v, int numV, int *order, int *visited) { visited[v] = *order; // records the order of visit *order = *order+1; for (Vertex w = 0; w < numV; w++) { if (isEdge(newEdge(v,w), g) && visited[w]==UNVISITED) { dfsR(g, w, numV, order, visited); } } return; }
- Breadth First Search
- queue
-
void bfsQuack(Graph g, Vertex v, int numV) { //name change int *visited = mallocArray(numV); Quack q = createQuack(); qush(v, q); //qush, not push showQuack(q); int order = 0; while (!isEmptyQuack(q)) { v = pop(q); if (visited[v] == UNVISITED) { printf("Visit %d\n", v); // debug visited[v] = order++; for (Vertex w = 0; w < numV; w++) {//vertex order if (isEdge(newEdge(v,w), g)) { qush(w, q); //qush, not push } } } showQuack(q); } printArray("Visited: ", visited, numV); free(visited); makeEmptyQuack(q); return; }
11. Week08 - Lec02 - Applications of Graph Search
- Breadth-First Search: Shortest path
- ref: https://www.cnblogs.com/alex-bn-lee/p/11242024.html#A42
-
void shortestPath(Graph g, Vertex start, Vertex goal, int numV) { int *visited = mallocArray(numV); int *parent = mallocArray(numV); // THIS IS NEW Quack q = createQuack(); qush(start, q); int order = 0; visited[start] = order++; int found = 0; while (!isEmptyQuack(q) && !found) { // FOUND TELLS US TO STOP Vertex v = pop(q); for (Vertex w = 0; w < numV && !found; w++) { if (isEdge(newEdge(v,w), g)) { // for adjacent vertex w ... if (visited[w] == UNVISITED) { // ... if w is unvisited ... qush(w, q); // ... queue w printf("Doing edge %d-%d\n", v, w); // DEBUG visited[w] = order++; // w is now visited parent[w] = v; // w's PARENT is v if (w == goal) { // if w is the goal ... found = 1; // ..FOUND IT! NOW GET OUT } } } } } if (found) { printf("SHORTEST path from %d to %d is ", start, goal); printPath(parent, numV, goal); // print path from START TO GOAL putchar('\n'); } else { printf("no path found\n"); } printArray("Visited: ", visited, numV); // debug printArray("Parent : ", parent, numV); // debug free(visited); free(parent); makeEmptyQuack(q); return; } -
// head recursion void printPath(int parent[], int numV, Vertex v) { if (parent[v] != UNVISITED) { // parent of start is UNVISITED if (0 <= v && v < numV) { printPath(parent, numV, parent[v]); printf("-->"); } else { fprintf(stderr, "\nprintPath: invalid goal %d\n", v); } } printf("%d", v); // the last call will print here first return; } void printPath(int parent[], int numV, Vertex v) { printf("%d", v); if (0<=v && v<numV) { Vertex p = parent[v]; while (p != UNVISITED) { printf("<--%d", p); p = parent[p]; } } else { fprintf(stderr, "printPath: illegal vertex in parent[]\n"); } }
- Depth-First Search: Cycle detection
- ref: https://www.cnblogs.com/alex-bn-lee/p/11242024.html#A43
-
// a wrapper for the recursive call to hasCycle() void searchForCycle(Graph g, int v, int numV) { int *visited = mallocArray(numV); int order = 0; if (hasCycle(g, numV, v, v, &order, visited)) { printf("found a cycle\n"); } else { printf("no cycle found\n"); } printArray("Visited ", visited, numV); free(visited); return; } int hasCycle(Graph g, int numV, Vertex fromv, Vertex v, int *order, int *visited) { int retval = 0; visited[v] = *order; *order = *order+1; for (Vertex w = 0; w < numV && !retval; w++) { if (isEdge(newEdge(v,w), g)) { if (visited[w] == UNVISITED) { printf("traverse edge %d-%d\n", v, w); retval = hasCycle(g, numV, v, w, order, visited); } else { if (w != fromv) { // exclude the vertex we've just come from // WE HAVE REVISITED A VERTEX ==> CYCLE printf("traverse edge %d-%d\n", v, w); retval = 1; } } } } return retval; }
- Depth-First Search: Eulerian cycles
- https://www.cnblogs.com/alex-bn-lee/p/11242024.html#A44
-
void findEulerianCycle(Graph g, int numV, Vertex startv) { Quack s = createQuack(); printf("Eulerian cycle: "); push(startv, s); while (!isEmptyQuack(s)) { Vertex v = pop(s); // pop and then ... push(v, s); // ... push back on, so no change Vertex w = getAdjacent(g, numV, v); // get largest adj. v if (w >= 0) { // if true, there is an adj. vertex push(w, s); // push this vertex onto stack removeEdge(newEdge(v, w), g); // remove edge to vertex } else { // top v on stack has no adj. vertices w = pop(s); printf("%d ", w); } } putchar('\n'); } Vertex getAdjacent(Graph g, int numV, Vertex v) { Vertex retv = -1; // assume no adj. vertices for (Vertex w = numV-1; w >= 0 && retv == -1; w--) { if (isEdge(newEdge(v, w), g)) { retv = w; // found largest adj. vertex } } return retv; }
- Depth-First Search: Finding a path
- https://www.cnblogs.com/alex-bn-lee/p/11242024.html#A45
-
void dfsR(Graph g, Vertex v, int numV, int *order, int *visited) { visited[v] = *order; *order = *order+1; for (Vertex w = 0; w < numV; w++) { if (isEdge(newEdge(v,w), g) && visited[w]==UNVISITED) { dfsR(g, w, numV, order, visited); } } return; } int isPath(Graph g, Vertex v, Vertex goalv, int numV, int *order, int *visited) { int found = 0; visited[v] = *order; *order = *order+1; if (v == goalv) { found = 1; } else { for (Vertex w = 0; w < numV && !found; w++) { if (isEdge(newEdge(v,w), g)) { if (visited[w] == UNVISITED) { found = isPath(g, w, goalv, numV, order, visited); printf("path %d-%d\n", w, v); } } } } return found; }
12. Week09 - Lec01 - Weighted Graph Algorithms
- Dijkstra 算法
- Prim 算法Kruskal 算法
- Firefox 崩溃了,数据丢了,坑爹~
13. Week09 - Lec02 - Binary Search Trees
- Height:具体根节点的高度,root 为 0
- Node level or depth:跟 Height 差不多
- Types of trees
- ordered tree: 有序树
- binary tree: 二叉树
- full binary tree: 满二叉树,每个节点都有2个孩子,可能参差不齐
- perfect binary tree: 完美二叉树,类似三角形那种,都铺满了
- ordered binary tree:有序二叉树,也叫做 binary search tree,二叉搜索树
- left subtree values <= parent value
- right subtree values >= parent value
- full m-ary tree: 类似满二叉树
- Binary Trees
- balanced:尽量满,最短的
- degenerate:退化的,一边倒,最长的
- Height of a binary tree
- 最长路径的长度
- degenerate: height is n-1
- balanced: height is ln(n)
- Data structure for a binary tree
-
typedef struct node *Tree; struct node { int data; Tree left; Tree right; };
-
- Comparing Binary Search Trees and Heaps
-
Searching in BSTs
- 结束条件就是 顶点 为 NULL,返回 0,或者查到了 v 值,返回 1
-
int searchTree(Tree t, int v){ // Search for the node with value v int ret = 0; if (t != NULL) { if (v < t->data) { ret = searchTree(t->left, v); } else if (v > t->data) { ret = searchTree(t->right, v); } else { // v == t->data ret = 1; } } return ret; } // returns non-zero if found, zero otherwise
-
Creating a node in a BST
- 构建结构体,建立数,结构体是一个 node 点,但是树是一个指针 Tree,连接着所有的点
- 创建树,首先就是分配内存空间,然后就是赋值
默认左右节点都为 NULL -
typedef struct node *Tree; struct node { int data; Tree left; Tree right; }; Tree createTree(int v) { Tree t; t = malloc(sizeof(struct node)); if (t == NULL) { fprintf(stderr, "Out of memory\n"); exit(1); } t->data = v; t->left = NULL; t->right = NULL; return t; }
- Freeing a node in a BST
- 结束条件就是遇到叶子节点,因为其左右节点均为 NULL
-
void freeTree(Tree t) { // free in postfix fashion if (t != NULL) { freeTree(t->left); freeTree(t->right); free(t); } return; }
- Inserting a node in a BST
- 重点是返回值是 Tree
结束条件就是遇到叶子节点,因为其左右节点均为 NULL,因此会创建新的 node 点,然后将值依次返回
由于返回值为 Tree,因此自动连接的起来 -
Tree insertTree(Tree t, int v) { if (t == NULL) { t = createTree(v); } else { if (v < t->data) { t->left = insertTree (t->left, v); } else { t->right = insertTree (t->right, v); } } return t; } - do it iteratively
- 通过遍历找到对应的叶子节点,然后连接上 node
-
Tree insertTreeI(Tree t, int v) { // An iterative version of the above if (t == NULL) { t = createTree(v); } else { // t != NULL Tree parent = NULL; // remember the parent to link in new child Tree step = t; while (step != NULL) { // this is the iteration parent = step; if (v < step->data) { step = step->left; } else { step = step->right; } } // step == NULL if (v < parent->data) { parent->left = createTree(v); } else { parent->right = createTree(v); } } return t; }
- 重点是返回值是 Tree
- Printing the tree
- 遍历打印,先左 再中 后右
-
void printTree(Tree t) { // not the final version if (t != NULL) { printTree (t->left); printf ("%d ", t->data); printTree (t->right); } return; } - 2D printing
- 每次递归,depth 自增,打印数据的时候,先将制表符打印出来,出现层次感
-
void printTree(Tree t, int depth) { // extra depth parameter if (t != NULL) { depth++; printTree (t->left, depth); for (int i=1; i<depth; i++){ // 'depth'*whitespace putchar('\t'); } printf ("%d\n", t->data); // node to print printTree (t->right, depth); } return; } - 反方向打印
-
void printTree2(Tree t, int depth) { if (t != NULL) { depth++; printTree2 (t->right, depth); int i; for (i=1; i<depth; i++){ putchar('\t'); } printf ("%d\n", t->data); printTree2 (t->left, depth); } return; } - 效果如下:
-
1 2 3 4 5 6 7 8 ==================================== 8 7 6 5 4 3 2 1
- Count the number of nodes in a BST
- 遍历相加,每个节点为 1
结束条件就是叶子节点,因为其左右节点均为 NULL,自动返回 1,然后不停回溯。。 -
int count(Tree t){ int countree = 0; if (t != NULL) { countree = 1 + count(t->left) + count(t->right); } return countree; }
- 遍历相加,每个节点为 1
- Find the height of a BST
- 对于叶子节点本身,高度为 0,因此 NULL 节点的高度就为 -1
parent 节点的高度 = 1 + MAX (left height, right height) -
int max(int a, int b){ if (a >= b) { return a; } return b; } int height(Tree t){ int heightree = -1; if (t != NULL){ heightree = 1 + max(height(t->left), height(t->right)); } return heightree; }
- 对于叶子节点本身,高度为 0,因此 NULL 节点的高度就为 -1
- How balanced is a BST?
How do the number of nodes in the left sub-tree and the right sub-tree compare?- 分别计算出左右子树的节点数,然后相减即可
-
int balance (Tree t){ // calculates the difference between left and right int diff = 0; if (t != NULL) { diff = count(t->left) - count(t->right); // count declared elsewhere if (diff < 0) { diff = –diff; } } return diff; }
- Deleting a node from a BST
- 3 cases
- node is a leaf: unlink node from parent
- node has 1 child: replace the node by its child
- node has 2 children: rearrange the tree in some way
- DLMD: Deepest Left-Most Descendent
- DRMD: Deepest Right-Most Descendent
- 把 DLMD 摘下来,左边连接 t1,右边连接 t2
DLMD 为最左,因此其次需要将其 parent 节点的 left 与 DLMD 的 right 相连
p->left = nuroot->right
注意需要保留 DLMD 的 parent 节点 -
Tree deleteTree(Tree t, int i){ // delete node with value 'v' if (t != NULL) { if (v < t->data) { t->left = deleteTree(t->left, v); } else if (v > t->data) { t->right = deleteTree(t->right, v); } else { // v == t->data, so the node 't' must be deleted // next fragment of code violates style, just to make logic clear Tree n; // temporary if (t->left==NULL && t->right==NULL) n=NULL; // 0 children else if (t->left ==NULL) n=t->right; // 1 child else if (t->right==NULL) n=t->left; // 1 child else n=joinDLMD(t->left,t->right); free(t); t = n; } } return t; } -
// Joins t1 and t2 with the deepest left-most descendent of t2 as new root. Tree joinDLMD(Tree t1, Tree t2){ Tree nuroot; if (t1 == NULL) { // actually should never happen nuroot = t2; } else if (t2 == NULL) { // actually should never happen nuroot = t1; } else { // find the DLMD of the right subtree t2 Tree p = NULL; nuroot = t2; while (nuroot->left != NULL) { p = nuroot; nuroot = nuroot->left; } // nuroot is the DLMD, p is its parent if (p != NULL){ p->left = nuroot->right; // give nuroot's only child to p nuroot->right = t2; // nuroot replaces deleted node } nuroot->left = t1; // nuroot replaces deleted node } return nuroot; }
- 3 cases
14. Week10 - Lec01 - Splay Trees
- Right rotation
- its right child moves to the root's left child the root moves to its right child
- 折下来,parent变成child
- Left rotation
- its left child moves to the root's right child the root moves to its left child
- 翻上去,child变成parent

- 相当于告诉了root,然后获取转折点,第一个是 E 是root,然后获取 C,同理。。
然后就是连接起来即可 -
// NOT REAL CODE: CHECKS REQUIRED: ACTUAL CODE BELOW Tree rotateR(Tree root) { // old root Tree newr = root->left; // newr is the new root root->left = newr->right; // old root has new root's right child newr->right = root; // new root has old root as right child return newr; // return the new root } // NOT REAL CODE: CHECKS REQUIRED: ACTUAL CODE BELOW Tree rotateL(Tree root) { // old root Tree newr = root->right; // newr will become the new root root->right = newr->left; // old root has new root's left child newr->left = root; // new root has old root as left child return newr; // return the new root }
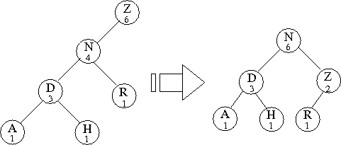
- root insertion
-
assume that we have just inserted node G in the BST below
-
rotate right the subtree with root the parent of G (i.e. H)
-
rotate right the subtree with root the parent of G (i.e. R)
-
rotate left the subtree with root the parent of G (i.e. E)
-

- 一次只是转一次,保证 G 不停向上走
-
- Counting the number of nodes in a subtree
-
typedef struct node *Tree; struct node { int data; Tree left; Tree right; int count; }; Tree createTree(int v) { Tree t = malloc (sizeof(struct node)); if (t == NULL) { fprintf(stderr, "Out of memory\n"); exit(1); } t->data = v; t->left = NULL; t->right = NULL; t->count = 1; return t; } int sizeTree(Tree t) { int retval = 0; if (t != NULL){ retval = t->count; } return retval; } Tree insertTree(Tree t, int v) { if (t == NULL) { t = createTree(v); } else { if (v < t->data) { t->left = insertTree (t->left, v); } else { t->right = insertTree (t->right, v); } t->count++; // update the counter at each ancestor } return t; }
-
- Selecting the i-th element from a BST
获取某一索引的节点值
类似数组里面 arr[3] 的意思
Balanced Trees- check the number of nodes in the left subtree
- if the left subtree contains numOnLeft elements, and
- numOnLeft>i, we recursively look in this left subtree for element i, else if
- numOnLeft<i, we recursively look in the right subtree for element i-(numOnLeft+1), else if
- numOnLeft=i, return with the current element's data
- if the left subtree contains numOnLeft elements, and

- 如果在左子树直接递归
如果在右子树,需要减掉所有左子树+root的节点数 -
// For tree with n nodes – indexes are 0..n-1 int selectTree(Tree t, int i) { // for tree with n nodes - indexed from 0..n-1 int retval = 0; if (t != NULL) { int numOnLeft = 0; // this is if there is no left branch if (t->left != NULL) { numOnLeft = t->left->count; // this is if there is a left branch } if (numOnLeft > i) { // left subtree or ... retval = selectTree(t->left, i); } else if (numOnLeft < i) { // ... right subtree ? retval = selectTree(t->right, i-(numOnLeft+1)); } else { retval = t->data; // value index i == numOnLeft } } else { printf("Index does not exist\n"); retval = 0; } return retval; }
- check the number of nodes in the left subtree
- Approach 1: Global rebalancing
- Rotating with a count
- Example of left rotation

- 算法与上面一致,只是增加了 count 的计算
对于 E 的count就是等于前面 A 的count
对于 A 的count就直接计算他的左右节点 -
Tree rotateLeft(Tree t) { // Rotate left code: includes count field Tree retval = NULL; if (t != NULL) { Tree nuroot = t->right; // left rotate: hence right root-child will become new root if (nuroot == NULL) { retval = t; } else { t->right = nuroot->left; // the left child of nuroot becomes old root's right child nuroot->left = t; // nuroot's left child is the old root nuroot->count = t->count; // nuroot and old root have the same count t->count = 1 + sizeTree(t->left) + sizeTree(t->right); // recompute count in old root retval = nuroot; // return with the new root } } return retval; }
- Example of right rotation

-
Tree rotateRight(Tree t) { // Rotate right code: includes count field Tree retval = NULL; if (t != NULL) { Tree nuroot = t->left; if (nuroot == NULL) { retval = t; } else { t->left = nuroot->right; nuroot->right = t; nuroot->count = t->count; t->count = 1 + sizeTree(t->left) + sizeTree(t->right); retval = nuroot; } } return retval; }
- Example of left rotation
- Partitioning,分隔,分区
-
We can rewrite select() to partition around the ith element in the BST:
- we descend recursively
-
to the ith element of each subtree
-
-
rotate-with-count that element in the opposite direction to its position
-
if it is a left child: do a right rotation
-
if it is a right child: do a left rotation
-
-
this will make the ith element the root of the BST
- we descend recursively
- 将第 i 个元素作为 root
不停的左右移动 -
Tree partition(Tree t, int i) { // make node at index i the root Tree retval = NULL; if (t != NULL) { int numOnLeft = 0; if (t->left != NULL) { numOnLeft = t->left->count; } if (numOnLeft > i) { t->left = partition(t->left, i); t = rotateRight(t); } if (numOnLeft < i) { t->right = partition(t->right, i-(numOnLeft+1)); t = rotateLeft(t); } retval = t; } else { printf("Index does not exist\n"); retval = NULL; } return retval; }
-
- Balancing the BST
Approach 2: Local Rebalancing-
Move the median node to the root by partitioning on i = count/2
- balance the left sub-tree
- balance the right sub-tree
- 先把 median 移动到 root
递归移动左右,最终所有的都是 median 在中间 -
Tree balance(Tree t) { Tree retval = NULL; if (t != NULL) { if (t->count <= 1){ retval = t; } else { t = partition(t, t->count/2); t->left = balance(t->left); t->right = balance(t->right); retval = t; } } return retval; }
-
-
Splaying an item to the top means to move an item to the root of the BST, using one of the operations:
-
zigzag
-
zigzig
-
-
zigzag operation (先下后上)
-
the item is the right child of the parent, which is a left child of the grandparent
- do a rotate-left of the parent followed by a rotate-right of the grandparent
- /
\ 先是左转parent
/
/ 然后再右转grandparent /\
-
the item is the left child of the parent, which is a right child of the grandparent
- do a rotate-right of the parent followed by a rotate-left of the grandparent
- \
/ 先是右转parent
\
\ 然后再左转grandparent /\
-
-
zigzig operation (先上后下)
-
the item is the left child of the parent, which is a left child of the grandparent
-
do a rotate-right of the grandparent followed by a rotate-right of the parent
- (not a rotate-right of the parent followed by a rotate-right of the grandparent
- /
/ 先是右转grandparent /\ 然后再右转parent
\
\
-
-
-
-
the item is the right child of the parent, which is a right child of the grandparent
-
do a rotate-left of the grandparent followed by a rotate-left of the parent
- (not a rotate-left of the parent followed by a rotate-left of the grandparent
- \
\ 先是左转grandparent /\ 然后再左转parent
/
/
-
-
- Example

-
H is the right child of the left child so requires a zigzag splay
- this is simply a left-rotate followed by a right-rotate
-
P is the left child of the right child so requires a zigzag splay
- this is simply a right-rotate followed by a left-rotate
-
C is the left child of the left child so requires a zigzig splay
-
a zigzig splay does a right-rotate of the grandparent M, followed by another right-rotate of the parent E
-
-
T is the right child of the right child so requires a zigzig splay
-
a zigzig splay does a left-rotate of the grandparent M, followed by a left-rotate of the parent Q
-
-
The first double rotation below is not a zigzig rotation, the second is:
区别在于,第一个图是 先下后上
而 zigzig 是 先上后下
- Operation splay-search
-
If we search for an item, and move the item to the root by using normal left and right rotations then there is no rebalancing
- for example: a normal search for item 1 would result in
每次移动一个节点,就是 1 不停向上移动
- for example: a normal search for item 1 would result in
-
If we splay-search for an item, once found we
- splay the item to the root
1作为目标节点,整体是一个左左型,从grandparent右转,然后parent右转
- splay the item to the root
-
If the item is not found
- the last item (leaf) on the path is splayed to the root
-
For example, in the following splay tree we search for item 3, and because it fails, the 'last' item accessed, which is 4, is splayed:
找3,结果找到了4,那就移动4,就是判断点是否为叶子节点,是的话就动
-
- Operation splay-insertion
- We have seen 2 types of BST insertion, leaf insertion and root insertion. Assume that we wish to insert the sequence of numbers 3, 2, 4, 5, 1.
-
leaf insertion
- each node is simply added as a leaf
按照 zigzig,zigzag 来操作
分别 先上后下,先下后上

- each node is simply added as a leaf
-
root insertion
- each node is added as a leaf, and then
- that leaf is promoted to the root position rotating the parent node to the left or right at each step
就是一个一个移动到 root

- Operation splay deletion
-
Normally, when an item is deleted in a BST, the node is simply replaced by its DLMD predecessor or DRMD successor.
In splay-deletion, if you wish to delete a node y:
-
delete the node y as normal using either:
-
DRMD: if the predecessor of y is x, and the parent of x is p, then
-
follow the deletion by splaying p
-
-
DLMD: if the successor node of y is z, and the parent of z is p, then
-
follow the deletion by splaying p
首先把 DLMD 替换 root,然后再将 DLMD 的 parent 移动到 root
-
-
For example, let us splay-delete item 2 from the following splay tree
we will use DLMD (DRMD would be similar)
要删除2节点
successor为4,4的父节点是5
把4替换为2节点,作为root
再把5移动上去
-
-
- Minimum or maximum of a splay tree
- search for the minimum or maximum item in a BST
- splay the item to the root
-
For example, we show below a splay tree after
- a search for the minimum and then
- a search for the maximum item


-
in summary
2-3-4 trees-
We note that in each operation:
-
search for an item in a splay tree
- the found item is splayed
- if not found, the last accessed item is splayed
-
insertion of an item in a splay tree
- the new item is splayed
-
deletion of an item in a splay tree
- the parent of the item that replaces the deleted item is splayed
-
search for the minimum/maximum item in a splay tree
- the found minimum/maximum is splayed
A 'splay' of an item involves:
-
zigzig whenever the item is left-left or right-right
-
zigzag whenever the item is left-right or right-left
-
zig whenever the item is the child of the root (so a zigzag or zigzig is not possible)
Splay Tree Analysis
-
number of comparisons per operation is O(log(n))
- gives good (amortized) cost overall
-
no guarantee for any individual operation: worst-case behaviour may still be O(N)
-
remember, amortisation means averaging over a large number k operations
-
-
-
- is self-balancing
- is commonly used to implement dictionaries
- has the property that all external nodes are at the same depth
- generalises the concept of a node
- 3 types of nodes:
-
2nodes: 1 key, a left link to smaller nodes, a right link to larger nodes (this is the normal node)
里面只有一个key就是一个字母,类似二叉树,因此只存在大小之分 -
3nodes: 2 keys, a left link to smaller, a middle link to in-between, and right link to larger
里面两个字母,小于,中间,大于三部分 -
4nodes: 3 keys: links to the 4 ranges
三个字母, M O S 分成四个部分
-

-
In the above example:
- 'A' is an example of a 2node
- 'LM' of a 3node
- 'EGH' of a 4node
Example of a search, for 'P':
- start at the root 'I'
- larger, go right to 'NR'
- middle, go middle to 'P'
Examples of insertions:
- 'B': easy, change node 'A' into 'AB'
- 'O': easy, change node 'NR' into 'NOR'
-
'D': the node is full ??
4node insertions
- split the 4node分裂4度节点:
- left key becomes a new 2node 左节点变成一个新的2度节点
- middle key goes up to parent 中间节点上提到parent里面
- right node becomes a new 2node 右节点变成一个新的2度节点
- add new key to one of the new 2nodes, creating a 3node
Example: insert 'D' in a 2-3-4 tree

This insertion assumes that you can move the 'middle' key up to the parent.
What happens if the parent is a 4node, and its parent is a 4node, and its parent ... ?
Solution, during insertion, on the way down:
-
[A] transform 2node->4node into 3node->(2node+2node)
-
[B] transform 3node->4node into 4node->(2node+2node)
-
[C] if the root is a 4node, transform into 2node->(2node+2node)
Example:

Basic insertion strategy:
-
because of the transformations (splits) on inserts on the way down, we often end on a 2node or 3node, so easy to insert
- insert at the bottom:
- if 2node or 3node, simply include new key
- if 4node, split the node
4node需要将中间节点上调,上调后parent又需要上调,以此类推
相当于递归了- if the parent is a 4node, this needs to be split
- if the grandparent is a 4node, this needs to be split
- ...
- if the grandparent is a 4node, this needs to be split
- if the parent is a 4node, this needs to be split
Results:
- trees are
-
split from the top down
-
(split and) grow from the bottom up
-
-
after insertions or deletions, 2-3-4 trees remain in perfect balance
-
What do you notice about these search trees?
2-3-4 trees are actually implemented using BSTs!
- 3 types of nodes:
来源:oschina
链接:https://my.oschina.net/u/4419748/blog/3428320





















